Computer >> Computer tutorials >  >> Hardware >> Hardware

Is a Gaming Laptop Worth Buying in 2021?

Is a Gaming Laptop Worth Buying in 2021?

Until a few years ago, gaming laptops had been met with mockery and derision. The logic for this was along the lines of “Why would you pay more money for a ‘gaming laptop’ than for a desktop that, for the same price, would have much more powerful specs?” Add to that the fact that gaming laptops aren’t as effective at getting rid of heat and that they’re heavy and (usually) ugly, and you could see the argument.

But things can change a lot in the tech world in a few years, and it’s safe to say that some game-changing things have happened to make gaming laptops more viable than ever (even if the best ones are still something of a luxury).

Here’s our view on whether a gaming laptop is worth it in 2021.

Price

Gaming laptops have really plummeted in price in recent years. While you’d previously have had to spend upward of $1200 to play the latest games at high settings, you can easily find ones for cheaper than that today. At the time of writing, you can grab a Lenovo Legion with an RTX 2060 for under $900. This will give you access to entry-level raytracing, too (Don’t know what raytracing is? See our guide on the topic.)

Is a Gaming Laptop Worth Buying in 2021?

At the budget end, you can find a laptop with a GTX 1650 (the cheapest GPU at this point that will still render most games playable) for around $700. The latest generation of laptops with RTX GPUs, available from February 2021, start from around $1100 with the RTX 3060 models. Beyond that, you can expect to pay upward of $2000 for the very latest and greatest gaming laptops, but the entry level has become more affordable in recent years.

You need to ask yourself some questions: Are you planning to do a lot of gaming on the go, or will you mostly be doing your gaming at home? Because if it’s the latter, for the same price as a powerful gaming laptop, you could get a very good gaming desktop and a lightweight portable laptop for when you work on the go. Consider that your gaming and portable computing could be two separate things for the price of one gaming laptop.

Is a Gaming Laptop Worth Buying in 2021?

If you like the idea of being able to play in different rooms in your house, remember that services like Steam Link allow you to stream between your in-home devices so that you can carry on gaming from your powerful desktop PC to a laptop or even a phone.

If you travel around a lot, or enjoy the idea of taking your whole gaming collection over to a friend’s house for a game night, then the case to get a gaming laptop becomes stronger.

Power

Is a Gaming Laptop Worth Buying in 2021?

On paper, gaming laptops come pretty close to matching their PC counterparts. For example, just look at the laptop version of the Nvidia RTX 2080 GPU and the desktop edition, and you’ll see that their benchmarks aren’t too far apart.

Is a Gaming Laptop Worth Buying in 2021?

However, that doesn’t tell the full story, because laptops tend to have their components underclocked – sometimes quite drastically – in order to ensure that laptops don’t overheat. Laptop OEMs have a lot of leeway with limiting clock speeds on GPUs, and they can sometimes be clocked 30 to 50 percent lower than their desktop counterparts.

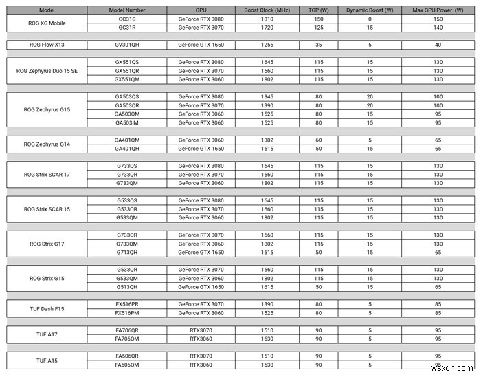
Also, with the latest generation of Nvidia mobile GPUs, there’s a lot of variance even with a GPU that has the same name and features in several laptops. Just look at this list of Asus laptops and their GPU specs, procured by Dutch tech site Tweakers.

Is a Gaming Laptop Worth Buying in 2021?

As you can see, the clock speeds, TGP (Total Graphics Power), Max GPU Power and Dynamic Boost capabilities even on a single GPU model vary greatly across laptops.

The lesson here is to always check the clock speeds of the GPU (and CPU) when getting a new laptop because it will vary even if it’s technically the same hardware, and it will almost certainly clock in quite a bit lower than a desktop equivalent. Nvidia has muddied the waters with its latest-gen GPUs, and it’s important to stay on top of it to get the best deal.

Also, bear in mind that the more graphics power, the louder your GPU is likely to be – probably louder than a tower PC – because the thermal setup has to work much harder to push all that heat out. That remains a widespread issue.

Weight and Build

Until recently, many gaming laptops were just irredeemably ugly. Glowing red or RGB keys, bulky designs, and aggressive key fonts are all the order of the day. But things are slowly changing on this front too.

Is a Gaming Laptop Worth Buying in 2021?

For the most part, top-end gaming laptops will still contain GPUs and a degree of ventilation that will give them a large form factor. But there are exceptions. The latest Asus TUF DASH laptops squeeze RTX 3060 and 3070 graphics into incredibly small bodies, but as that table in the previous heading shows, you’ll be sacrificing a bit of power. If you want long battery life and a genuinely portable device, though, then they’re the ones to get.

Until the TUF DASH series came along, you’d be hard-pressed to find solid slim gaming laptops. The slimmest laptops tend to have integrated graphics, which are poor for gaming. The Razer Blade Stealth and Book series, for example, are very expensive and not that powerful.

The technology in gaming laptops has come a long way, and the dream of being able to play the best games wherever you are has very much arrived. If you’re looking to buy a used laptop, then be sure to check our guide on things to look for.