Digital learning has empowered educators and has helped students prepare better for their future. Tools like simple calculators have now become more advanced and feature dozens of functions apart from simple arithmetic operations. These developments have helped students solve the most challenging equations and enhance their understanding of math. Many of the Windows Store apps like Evernote have become ideal for classroom use. There are more apps of this kind. We have covered few useful Windows Store Apps for you, that will help you learn and master Maths subject.
Microsoft Store Apps to learn Maths
1] FluidMath for Windows 11/10
Fluid Math is a pen-centric application designed for teaching and learning mathematics. Simple gestures can produce graphs, tables, and computations from your hand-written expressions.
FluidMath is easy to use. When you first launch it, you are offered a digital graphing paper with two pen functions
- For solving equations
- For free-hand drawing.
The “math pen” that is visible to you, under the ribbon interface of the app is the one that will transform your input into the text as you write down the formula on the screen. To begin, simply write a math notation. It will be represented as a graph.

You can use the latter tool to mark important locations or draw arrows, animations to highlight an area of interest.

When you represent lines as equations, multiple graph expressions of them will be shown as seen in the screenshots below. You can click on ‘Table’ to display different tools like ‘Hand’ to adjust the graph up-down or left-right.
Likewise, you can use the app to solve word problems via a simple arithmetic function such as addition, subtraction, multiplication, and division.
Thus, FluidMath for Windows 10 enables you to apply your device’s pen and touch capabilities to teaching and learning math and science via interactive visualizations and computations.
Please note that you will need to create an ID to use the application. However, if you are a student, you just need to contact your admin or ask your school administrator to sign up for the service. Get FluidMath for Windows 10 from the Microsoft Education Store.
2] Microsoft Mathematics
This app features some important tools that can help you get your homework done quickly. It features a graphing calculator that’s equivalent to a handheld calculator in design and function. Other additional math tools help you evaluate triangles via triangle solver and convert from one system of units to another using a unit converter.
The app has been designed to work on touch-enabled devices. As such, you can enter data with a stylus. Besides, it supports a number of add-ons that enable the app to integrate well with the Microsoft Word software application. Click here to download the app.
3] Math Solver
Math Solver helps you solve Linear Equations, fractions, and numerical related to the Geometry discipline. Getting started with the app is not difficult as there are tutorials available in the app for your help. A unique feature of this app is that it keeps a history of previously entered expressions so that you can refer to them or reuse them at any point in time. However, there’s a shortfall – short memory. The saved expressions are deleted once you quit the program.
The app includes an excellent database with constants and functions. I would have given a FIVE STAR rating if it would have helped me solve LIMITS, INTEGRATION and DERIVATIVES.

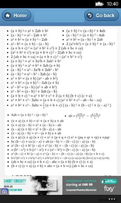
4] All Math Formulas
Conceptual understanding of formulas makes it easier for students to solve problems but remembering dozens of them or recalling them in the hour of need can wreak havoc in a student’s brain. that’s where the role of All Math Formulas app comes into play. The app is a collection of formulas from the mathematics and physics disciplines. All essentials math formulas and equations: Algebra Geometry Trigonometry can be found in this app.

Go here to get the free All Math Formulas App.
Hope you find them useful!
