What is rhombus?
In geometry, rhombus is a quadrilateral with four sides of same length. Rhombus resembles with the shape diamond. If the diagonals of rhombus meet at right angle than it becomes square.
Properties of rhombus are −
- equal sides
- Opposite sides are parallel and opposite angles are equal making it parallelogram
- diagonals bisects at right angle
Given below is the figure of rhombus

Problem
Given with the diagonals, let’s say, d1 and d2 the task is to find the area and perimeter of a rhombus where area is the space occupied by the shape and perimeter is the space that its boundaries will cover
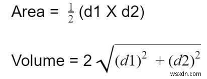
To calculate area and perimeter of a cuboid there is a formula −

Example
Input-: d1=6 and d2=12 Output-: The perimeter of rhombus with given diagonals are :26 The area of rhombus with given diagonals are :36
ALGORITHM
Start Step 1 -> declare function to calculate perimeter of rhombus int perimeter(int d1, int d2) Declare variable long long int perimeter Set perimeter = 2 * sqrt(pow(d1, 2) + pow(d2, 2)) Print perimeter Step 2 -> Declare function to calculate area of rhombus int area(int d1, int d2) Declare long long int area Set area = (d1 * d2) / 2 Print area Step 3 -> In main() Declare variable int d1 = 6, d2 = 12 Call perimeter(d1, d2) Call area(d1, d2) Stop
Example
#include <iostream>
#include <math.h>
using namespace std;
// program to calculate perimeter of rhombus
int perimeter(int d1, int d2){
long long int perimeter;
perimeter = 2 * sqrt(pow(d1, 2) + pow(d2, 2));
cout<< "The perimeter of rhombus with given diagonals are :"<<perimeter;
}
//program to calculate area of rhombus
int area(int d1, int d2){
long long int area;
area = (d1 * d2) / 2;
cout<<"\nThe area of rhombus with given diagonals are :"<< area;
}
int main(){
int d1 = 6, d2 = 12;
perimeter(d1, d2);
area(d1, d2);
return 0;
}Output
The perimeter of rhombus with given diagonals are :26 The area of rhombus with given diagonals are :36