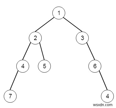
Suppose we have a binary tree; we have to find the sum of values of its deepest leaves. So if the tree is like −

Then the output will be 11.
To solve this, we will follow these steps −
Define a map m, and maxDepth
Define a recursive method solve(), this will take node and level, initially level is 0
if node is not present, then return
maxDepth := max of level and maxDepth
increase m[level] by value of node
solve(left of node, level + 1)
solve(right of node, level + 1)
In the main method, setup maxDepth := 0, then solve(root, 0)
return m[maxDepth]
Let us see the following implementation to get better understanding −
Example
#include <bits/stdc++.h>
using namespace std;
class TreeNode{
public:
int val;
TreeNode *left, *right;
TreeNode(int data){
val = data;
left = NULL;
right = NULL;
}
};
class Solution {
public:
int maxDepth;
map <int, int> m;
void solve(TreeNode* node, int level = 0){
if(!node)return;
maxDepth = max(level, maxDepth);
m[level] += node->val;
solve(node->left, level + 1);
solve(node->right, level + 1);
}
int deepestLeavesSum(TreeNode* root) {
maxDepth = 0;
m.clear();
solve(root);
return m[maxDepth];
}
};
main(){
TreeNode *root = new TreeNode(1);
root−>left = new TreeNode(2);
root−>right = new TreeNode(3);
root−>left−>left = new TreeNode(4);
root−>left−>right = new TreeNode(5);
root−>right−>right = new TreeNode(6);
root−>right−>right−>right = new TreeNode(4);
root−>left−>left−>left = new TreeNode(7);
Solution ob;
cout << (ob.deepestLeavesSum(root));
}Input
TreeNode *root = new TreeNode(1); root−>left = new TreeNode(2); root−>right = new TreeNode(3); root−>left−>left = new TreeNode(4); root−>left−>right = new TreeNode(5); root−>right−>right = new TreeNode(6); root−>right−>right−>right = new TreeNode(4); root−>left−>left−>left = new TreeNode(7);
Output
11