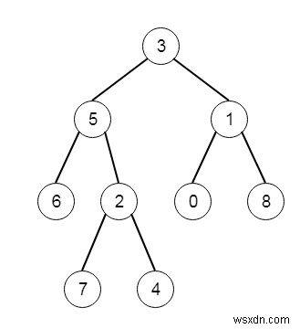
Suppose we have a binary tree. We have to find the left most value of the last row of that tree. So if the tree is like −

Then the output will be 7, as the last row is [7, 4], and left most element is 7.
To solve this, we will follow these steps −
initially define ans and lvl variable as 0
define one method called solve(), this will take the tree node, and level, the level is initially 0. This will act as follows −
if node is null, then return
if level > lvl, then ans := value of node and lvl := level
solve(left of node, level + 1)
solve(right of node, level + 1)
In the main section, set lvl := -1, call solve(root), and return ans
Let us see the following implementation to get better understanding −
Example
#include <bits/stdc++.h>
using namespace std;
void print_vector(vector<auto> v){
cout << "[";
for(int i = 0; i<v.size(); i++){
cout << v[i] << ", ";
}
cout << "]"<<endl;
}
class TreeNode{
public:
int val;
TreeNode *left, *right;
TreeNode(int data){
val = data;
left = NULL;
right = NULL;
}
};
void insert(TreeNode **root, int val){
queue<TreeNode*> q;
q.push(*root);
while(q.size()){
TreeNode *temp = q.front();
q.pop();
if(!temp->left){
if(val != NULL)
temp->left = new TreeNode(val);
else
temp->left = new TreeNode(0);
return;
} else {
q.push(temp->left);
}
if(!temp->right){
if(val != NULL)
temp->right = new TreeNode(val);
else
temp->right = new TreeNode(0);
return;
} else {
q.push(temp->right);
}
}
}
TreeNode *make_tree(vector<int> v){
TreeNode *root = new TreeNode(v[0]);
for(int i = 1; i<v.size(); i++){
insert(&root, v[i]);
}
return root;
}
class Solution {
public:
int ans;
int lvl;
void solve(TreeNode* node, int level = 0){
if(!node || node->val == 0) return;
if(level > lvl){
ans = node->val;
lvl = level;
}
solve(node->left, level + 1);
solve(node->right, level + 1);
}
int findBottomLeftValue(TreeNode* root) {
lvl = -1;
solve(root);
return ans;
}
};
main(){
vector<int> v = {3,5,1,6,2,0,8,NULL,NULL,7,4};
TreeNode *tree = make_tree(v);
Solution ob;
cout <<(ob.findBottomLeftValue(tree));
}Input
[3,5,1,6,2,0,8,null,null,7,4]
Output
7