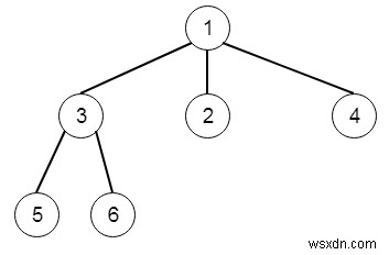
Suppose we have an n-ary tree, we have to return the level order traversal of its nodes' values. The Nary-Tree input serialization is represented in their level order traversal. Here each group of children is separated by the null value (See examples). So the following tree can be represented as [1,null,3,2,4,null,5,6]

The output will be [[1],[3,2,4],[5,6]]
To solve this, we will follow these steps −
make one matrix ans
if root is null, return ans
make one queue q and insert root
while q is not empty
size := size of the queue
make one array temp
while size is not 0
curr := first element of q
insert value of curr into temp
delete element from queue
for i in range 0 to size of the children of curr
insert ith children of curr
decrease size by 1
insert temp into ans
return ans
Let us see the following implementation to get better understanding −
Example
#include <bits/stdc++.h>
using namespace std;
void print_vector(vector<vector<auto> > v){
cout << "[";
for(int i = 0; i<v.size(); i++){
cout << "[";
for(int j = 0; j <v[i].size(); j++){
cout << v[i][j] << ", ";
}
cout << "],";
}
cout << "]"<<endl;
}
class Node {
public:
int val;
vector<Node*> children;
Node() {}
Node(int _val) {
val = _val;
}
Node(int _val, vector<Node*> _children) {
val = _val;
children = _children;
}
};
class Solution {
public:
vector<vector<int>> levelOrder(Node* root) {
vector < vector <int> > ans;
if(!root)return ans;
queue <Node*> q;
q.push(root);
while(!q.empty()){
int sz = q.size();
vector<int> temp;
while(sz--){
Node* curr = q.front();
temp.push_back(curr->val);
q.pop();
for(int i = 0; i < curr->children.size(); i++){
q.push(curr->children[i]);
}
}
ans.push_back(temp);
}
return ans;
}
};
main(){
Node *root = new Node(1);
Node *left_ch = new Node(3), *mid_ch = new Node(2), *right_ch = new Node(4);
left_ch->children.push_back(new Node(5));
left_ch->children.push_back(new Node(6));
root->children.push_back(left_ch);
root->children.push_back(mid_ch);
root->children.push_back(right_ch);
Solution ob;
print_vector(ob.levelOrder(root));
}Input
[1,null,3,2,4,null,5,6]
Output
[[1, ],[3, 2, 4, ],[5, 6, ],]