In this problem, we are given a binary tree and we have to print all leaf nodes of the binary tree from left to right the iterative approach.
Let’s take an example to understand the problem
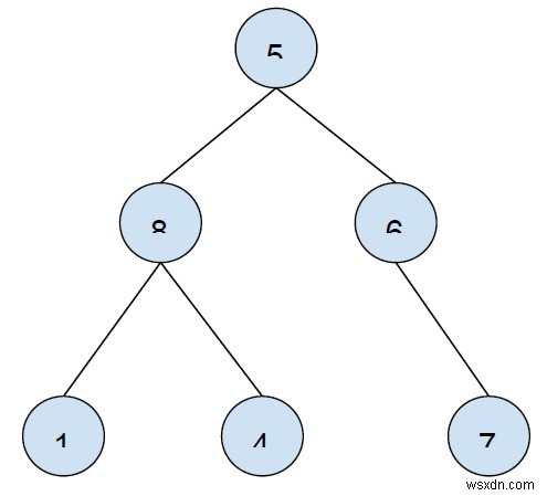
Input −

Output − 1 4 7
To solve this problem using the iterative approach, we will use a Depth-first search(DFS). To Traverse tree, we will start from root node and check if it is a leaf node if it is then print the node else find its child trees and traverse the child subtrees to find all leaf nodes.
Example
The below code will implement our solution −
#include <iostream>
using namespace std;
struct Node {
int data;
struct Node *left, *right;
};
Node* insertNode(int data) {
Node *temp = new Node;
temp->data = data;
temp->left = temp->right = NULL;
return temp;
}
void printLTRLeafNodes(Node *root){
if (!root)
return;
if (!root->left && !root->right) {
cout<<root->data<<"\t";
return;
}
if (root->left)
printLTRLeafNodes(root->left);
if (root->right)
printLTRLeafNodes(root->right);
}
int main(){
Node *root = insertNode(21);
root->left = insertNode(5);
root->right = insertNode(36);
root->left->left = insertNode(2);
root->right->left = insertNode(13);
root->right->right = insertNode(4);
root->right->left->left = insertNode(76);
root->right->left->right = insertNode(9);
root->right->right->left = insertNode(17);
root->right->right->right = insertNode(2);
cout<<"Leaf Nodes of the tree from left to rigth are :\n";
printLTRLeafNodes(root);
return 0;
}Output
Leaf Nodes of the tree from left to right are − 2 76 9 17 2