To check connectivity of a graph, we will try to traverse all nodes using any traversal algorithm. After completing the traversal, if there is any node, which is not visited, then the graph is not connected.

For the directed graph, we will start traversing from all nodes to check connectivity. Sometimes one edge can have only outward edge but no inward edge, so that node will be unvisited from any other starting node.
In this case the traversal algorithm is recursive DFS traversal.
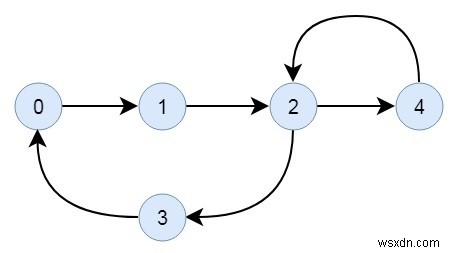
Input − Adjacency matrix of a graph
| 0 | 1 | 0 | 0 | 0 |
| 0 | 0 | 1 | 0 | 0 |
| 0 | 0 | 0 | 1 | 1 |
| 1 | 0 | 0 | 0 | 0 |
| 0 | 1 | 0 | 0 | 0 |
Output − The Graph is connected.
Algorithm
traverse(u, visited) Input: The start node u and the visited node to mark which node is visited. Output: Traverse all connected vertices. Begin mark u as visited for all vertex v, if it is adjacent with u, do if v is not visited, then traverse(v, visited) done End isConnected(graph) Input: The graph. Output: True if the graph is connected. Begin define visited array for all vertices u in the graph, do make all nodes unvisited traverse(u, visited) if any unvisited node is still remaining, then return false done return true End
Example
#include<iostream>
#define NODE 5
using namespace std;
int graph[NODE][NODE] = {{0, 1, 0, 0, 0},
{0, 0, 1, 0, 0},
{0, 0, 0, 1, 1},
{1, 0, 0, 0, 0},
{0, 1, 0, 0, 0}
};
void traverse(int u, bool visited[]){
visited[u] = true; //mark v as visited
for(int v = 0; v<NODE; v++){
if(graph[u][v]){
if(!visited[v])
traverse(v, visited);
}
}
}
bool isConnected(){
bool *vis = new bool[NODE];
//for all vertex u as start point, check whether all nodes are visible or not
for(int u; u < NODE; u++){
for(int i = 0; i<NODE; i++)
vis[i] = false; //initialize as no node is visited
traverse(u, vis);
for(int i = 0; i<NODE; i++){
if(!vis[i]) //if there is a node, not visited by traversal, graph is not connected
return false;
}
}
return true;
}
int main(){
if(isConnected())
cout << "The Graph is connected.";
else
cout << "The Graph is not connected.";
}Output
The Graph is connected.