In this problem, we are given a binary tree. And we have to print all the paths from the root to the leaf of the tree. Also, add underscore “_” to show the relative positions of the nodes.
Let’s take an example to understand the topic better −
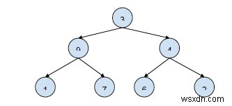
Input −

Output −
_ _ 3 _ 9 1 _3 9 _7 3 _ 4 _ _ 2 3 9 4 1 7 6 2 3 _ 4 6
To solve this problem, we will use the concept of the vertical order of the elements of the tree.

Based on this, we will print the path from root to leaf.
Algorithm
Step 1: Traverse the binary tree using preorder traversal. And on traversal calculate the horizontal distance based on the order. The horizontal distance of root is 0 and processed as the above diagram. Step 2: And on traversing to the leaf node, print the path with an underscore “_” at the end.
Example
#include<bits/stdc++.h>
using namespace std;
#define MAX_PATH_SIZE 1000
struct Node{
char data;
Node *left, *right;
};
Node * newNode(char data){
struct Node *temp = new Node;
temp->data = data;
temp->left = temp->right = NULL;
return temp;
}
struct PATH{
int horizontalDistance;
char key;
};
void printPath(vector < PATH > path, int size){
int minimumhorizontalDistance = INT_MAX;
PATH p;
for (int it=0; it<size; it++){
p = path[it];
minimumhorizontalDistance = min(minimumhorizontalDistance, p.horizontalDistance);
}
for (int it=0; it < size; it++){
p = path[it];
int noOfUnderScores = abs(p.horizontalDistance -minimumhorizontalDistance);
for (int i = 0; i < noOfUnderScores; i++) cout<<"_ ";
cout<<p.key<<endl;
}
cout<<"\nNext Path\n";
}
void printAllRtLPaths(Node *root, vector < PATH > &AllPath, int horizontalDistance, int order ){
if(root == NULL)
return;
if (root->left == NULL && root->right == NULL){
AllPath[order] = (PATH { horizontalDistance, root->data });
printPath(AllPath, order+1);
return;
}
AllPath[order] = (PATH { horizontalDistance, root->data });
printAllRtLPaths(root->left, AllPath, horizontalDistance-1, order+1);
printAllRtLPaths(root->right, AllPath, horizontalDistance+1, order+1);
}
void printRootToLeafPath(Node *root){
if (root == NULL)
return;
vector<PATH> Allpaths(MAX_PATH_SIZE);
printAllRtLPaths(root, Allpaths, 0, 0);
}
int main(){
Node *root = newNode('3');
root->left = newNode('9');
root->right = newNode('4');
root->left->left = newNode('1');
root->left->right = newNode('7');
root->right->left = newNode('6');
root->right->right = newNode('2');
printRootToLeafPath(root);
return 0;
}Output
_ _ 3 _ 9 1 Next Path _ 3 9 _ 7 Next Path 3 _ 4 6 Next Path 3 _ 4 _ _ 2