C++
 Computer >> Computer tutorials >  >> Programming >> C++
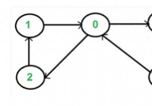
  1. Count all possible walks from a source to a destination with exactly k edges in C++

  2. Count all sub-sequences having product <= K – Recursive approach in C++

  3. How to create a List with Constructor in C++ STL

  4. How to create an unordered_map of pairs in C++?

  5. How to create an unordered_map of user defined class in C++?

  6. How to create an unordered_set of user defined class or struct in C++?

  7. How to find common elements between two Arrays using STL in C++?

  8. How to find common elements between two Vectors using STL in C++?

  9. How to find the maximum element of a Vector using STL in C++?

  10. How to find the sum of elements of a Vector using STL in C++?

  11. How to convert a class to another class type in C++?

  12. list begin( ) and list end( ) in C++ STL

  13. list unique( ) in C++ STL

  14. deque_resize( ) in C++ in STL

  15. list insert( ) in C++ STL

  16. deque push_back( ) in C++ in STL

  17. deque front( ) and deque back( ) in C++ in STL

  18. What is deque back( ) in C++?

  19. Deque emplace_front( ) and deque emplace_back( ) in C++ in STL

  20. What is emplace_back( ) in C++?

Total 6007 -Computer  FirstPage PreviousPage NextPage LastPage CurrentPage:137/301  20-Computer/Page Goto:1 131 132 133 134 135 136 137 138 139 140 141 142 143