Javascript
 Computer >> Computer tutorials >  >> Programming >> Javascript
  1. Picking index randomly from array in JavaScript

  2. Bring number down to 1 in JavaScript

  3. Finding median for every window in JavaScript

  4. Forming string using 0 and 1 in JavaScript

  5. Encoding string to reduce its size in JavaScript

  6. Checking for convex polygon in JavaScript

  7. Deriving Random10() function from Random7() in JavaScript

  8. Unique substrings in circular string in JavaScript

  9. How to Get Current Value of a CSS Property in JavaScript?

  10. Get and Set CSS Variables with JavaScript

  11. Typing and Deleting Effect with JavaScript and CSS

  12. Auto Grow a Textarea with JavaScript in CSS

  13. Determining rank on basis of marks in JavaScript

  14. Next Greater Element in Circular Array in JavaScript

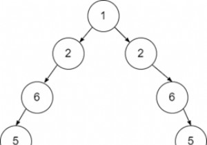
  15. Finding Mode in a Binary Search Tree in JavaScript

  16. Traversing Diagonally in a matrix in JavaScript

  17. Ways to get to a specific sum in JavaScript

  18. Finding peculiar pairs in array in JavaScript

  19. Consecutive ones with a twist in JavaScript

  20. Finding the smallest good base in JavaScript

Total 5941 -Computer  FirstPage PreviousPage NextPage LastPage CurrentPage:28/298  20-Computer/Page Goto:1 22 23 24 25 26 27 28 29 30 31 32 33 34